In previous chapters we considered the problem of tracking motion trajectories using a variety of elementary and advanced control methods. These position control schemes are adequate for tasks such as materials transfer, spray painting, or spot welding where the manipulator is not interacting significantly with objects in the workplace (hereafter referred to as the environment). However, tasks such as assembly, grinding, and deburring, which involve extensive contact with the environment, are often better handled by controlling the forces1 of interaction between the manipulator and the environment rather than simply controlling the position of the end effector. For example, consider an application where the manipulator is required to wash a window, or to write with a felt tip marker. In both cases a pure position control scheme is unlikely to work. Slight deviations of the end effector from a planned trajectory would cause the manipulator either to lose contact with the surface or to press too strongly on the surface. For a highly rigid structure such as a robot, a slight position error could lead to extremely large forces of interaction with disastrous consequences (broken window, smashed pen, damaged end effector, etc.). The above applications are typical in that they involve both force control and trajectory control. In the window washing application, for example, one clearly needs to control the forces normal to the plane of the window and position in the plane of the window.
We first introduce the notion of natural and artificial constraints, which allows one to partition a given task into position-controlled directions and force-controlled directions similar to the window washing example above. We then introduce network models that are useful to represent the robot/environment interaction. These network models are similar to those used in circuit theory and, in fact, we use two commonly used circuit models, the Thévenin and Norton equivalent networks to model both the robot and environment after which the robot/environment interaction can be viewed as essentially a problem of impedance matching. We then include the interaction force in the task space dynamics of the robot using the dynamic models and inverse dynamics control results of the previous chapters. We then give details of two common design methods for robot force control, namely, impedance control and hybrid impedance control. Impedance control allows one to modify the apparent inertia, stiffness, and damping of the robot as seen by the environment. Hybrid impedance control takes this a step further and allows one to control the robot position or contact forces in addition to specifying the robot/environment impedance.
Force and Torque Sensing
A force control strategy is one that modifies position trajectories based on the sensed forces. There are three main types of sensors for force feedback, wrist force sensors, joint torque sensors, and tactile or hand sensors. A wrist force sensor such as that shown in Figure 10.1 usually consists of an array of strain gauges and can delineate the three components of the vector force along the three axes of the sensor coordinate frame, and the three components of the torque about these axes. A joint torque sensor consists of strain gauges located on the actuator shaft. Tactile sensors are usually located on the fingers of the gripper and are useful for sensing gripping force and for shape detection. For the purposes of controlling the end-effector/environment interactions, the six-axis wrist sensor usually gives the best results and we shall henceforth assume that the manipulator is equipped with such a device.
Figure 10.1 A wrist force sensor. The array of strain gauges provides data of both force and torque relative to the local coordinate frame of the sensor.
Force control tasks can be thought of in terms of constraints imposed by the robot/environment interaction. A manipulator moving through free space within its workspace is unconstrained in motion and can exert no forces since there is no source of reaction force from the environment. A wrist force sensor in such a case would record only the inertial forces due to any acceleration of the end effector. As soon as the manipulator comes in contact with the environment, say a rigid surface as shown in Figure 10.2, one or more degrees of freedom in motion may be lost since the manipulator cannot move through the environment surface. At the same time, the manipulator can exert forces against the environment.
Figure 10.2 Robot end effector in contact with a rigid surface. The surface prevents motion of the end effector in the direction normal to the surface, which results in interaction forces between the robot and environment.
In order to describe the robot/environment interaction, let ξ = [v, ω] represent the instantaneous linear and angular velocity of the end effector and let F = [f, n] represent the instantaneous force and moment acting on the end effector. The vectors ξ and F are each elements of six dimensional vector spaces, which we denote by
and
, the motion and force spaces, respectively. The vectors ξ and F are called twists and wrenches, respectively, in more advanced texts [118] although we will continue to refer to them simply as velocity and force for simplicity.
Definition 10.1.
, and {f1, …, f6} is a basis for the vector space
, we say that these basis vectors are reciprocal provided that

and a wrench
are called reciprocal if

Twists are elements of the tangent space
at each configuration q and wrenches are elements of the dual tangent space
. Equation (10.2) means simply that the twists and wrenches are orthogonal at each
. The advantage of using reciprocal basis vectors is that the product ξTF is then invariant with respect to a linear change of basis from one reciprocal coordinate system to another. Thus, the reciprocity condition given by Equation (10.2) is invariant with respect to choice of reciprocal bases of
and
. We shall show below how the reciprocity relation given by Equation (10.2) can be used to design reference inputs to execute motion and force control tasks.
Since
and
are each six dimensional vector spaces, it is tempting to identify each with
. However, it turns out that inner product expressions such as ξT1ξ2 or FT1F2 for vectors ξi, Fi belonging to
and
, respectively, are not necessarily well defined. For example, the expression

is not invariant with respect to either choice of units or basis vectors in
.
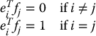
Example 10.1.
Suppose that

where the linear velocity is in meters/sec and angular velocity is in radians/sec. Then clearly, ξT1ξ2 = 0 and so one could infer that ξ1 and ξ2 are orthogonal vectors in
. However, suppose now that the linear velocity is represented in units of centimeters/sec. Then

and clearly ξT1ξ2 ≠ 0. Thus, the usual notion of orthogonality is not meaningful in
.
Remark 10.1.
It is possible to define inner product like operations, that is, symmetric, bilinear forms on
and
that have the necessary invariance properties. These are the so-called Klein form, KL(ξ1, ξ2), and Killing form, KI(ξ1, ξ2), defined according to


One can show that the equality KL(ξ1, ξ2) = 0 (respectively, KI(ξ1, ξ2) = 0) is independent of the units or the basis chosen to represent ξ1 and ξ2. For example, the condition KI(ξ1, ξ2) = 0 means that the axes of rotation defining ω1 and ω2 are orthogonal. However, a detailed discussion of these concepts is beyond the scope of this text. As the reader may suspect, the need for a careful treatment of these concepts is related to the geometry of SO(3) as we have seen before in other contexts.
In this section we discuss so-called natural constraints, which are defined using the reciprocity condition given by Equation (10.2). We then discuss the notion of artificial constraints, which are used to define reference inputs for motion and force control tasks.
We begin by defining a so-called compliance frame ocxcyczc (also called a constraint frame) in which the task to be performed is easily described. For example, in the window washing application, we can define a frame at the tool with the zc-axis along the surface normal direction. The task specification is then expressed in terms of maintaining a constant force in the zc direction while following a prescribed trajectory in the xc–yc plane. Such a position constraint in the zc direction, arising from the presence of a rigid surface, is a natural constraint. The force that the robot exerts against the rigid surface in the zc direction, on the other hand, is not constrained by the environment. A desired force in the zc direction would then be considered as an artificial constraint that must be maintained by the control system. Likewise, while the window prevents motion in the zc direction, it does not impose any limitations on motion in the xc and yc directions. The application of washing the window could be achieved by specifying a desired trajectory in the xc–yc plane, which would then be considered constitute artificial constraints.
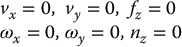
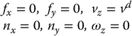
Figure 10.3 shows a typical task, that of inserting a peg into a hole. With respect to a compliance frame ocxcyczc, as shown at the end of the peg, we may take the standard orthonormal basis in
for both
and
, in which case

If we assume that the walls of the hole and the peg are perfectly rigid and there is no friction, it is easy to see that

These relationships in (10.7) are termed natural constraints, since they are imposed by the environment. For example, the walls of the hole prevent motion in the xc and yc directions giving rise to the natural constraints vx = 0 and vy = 0. On the other hand, there is nothing to prevent the peg from spinning about the zc-axis, hence there is no natural constraint on ωz. Each of these natural constraints can be inferred from the geometry of the task.
Figure 10.3 Inserting a peg into a hole, showing natural constraints imposed by the environment and artificial constraints chosen by the designer.
With the above natural constraints, it is easy to see that the reciprocity condition ξTF = 0 is satisfied for any F. Examining Equation (10.6) we see that the variables

are therefore unconstrained by the environment. In other words, given the natural constraints from Equation (10.7), the reciprocity condition ξTF = 0 holds for all values of the above variables in Equation (10.8). We may therefore arbitrarily assign reference values, called artificial constraints, for these variables with the idea that the control system should be designed to enforce these artificial constraints in order to carry out the task at hand. For example, in the peg-in-hole task, we specify fx = fy = 0 to prevent the robot from exerting forces against the sides of the hole where motion is not possible. Likewise, since there is no natural constraint on motion in the zc direction, we may specify vc = vd as the desired rate that the peg should be inserted into the hole. Equation (10.9) gives a set of such artificial constraints for the peg-in-hole insertion task

The natural and artificial constraints are summarized in Figure 10.3.
As a second example, Figure 10.4 shows natural and artificial constraints for the task of turning a crank. The reader should verify the natural constraints and the justification for the choice of the artificial constraints.
Figure 10.4 The task of turning a crank with the resulting natural and artificial constraints.
The reciprocity condition ξTF = 0 means that the forces of constraint do no work in directions compatible with motion constraints and holds under the ideal conditions of no friction and perfect rigidity of both the robot and the environment. In practice, compliance and friction in the robot/environment interface will alter the strict separation between motion constraints and force constraints.
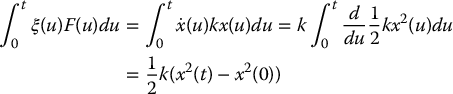
For example, consider the situation in Figure 10.5. Since the environment deforms in response to a force, there is clearly both motion and force normal to the surface. Thus, the product ξ(t)F(t) along this direction will not be zero. Let k represent the stiffness of the surface so that F = kx. Then

is the change of the potential energy due to the material deformation. The environment stiffness k determines the amount of force needed to produce a given motion. The higher the value of k, the more the environment “impedes” the motion of the end effector.
Figure 10.5 A robot in contact with a compliant environment. Both motion and force are permitted normal to the surface because of the deformation of the surface.
In this section we introduce the notion of mechanical impedance, which captures the relation between force and motion. We introduce so-called network models, which are particularly useful for modeling the interaction between the robot and the environment.
We model the robot and the environment as one-port networks as shown in Figure 10.6. The dynamics of the robot and environment determine the relations among the port variables, Vr, Fr, and Ve, Fe, respectively. The forces Fr, Fe are known as effort or across variables while the velocities Vr, Ve are known as flow or through variables. With this description, the product of the port variables, VTF, represents instantaneous power and the integral of this product
Figure 10.6 A one-port network can be thought of a black box representation of a system that describes the relationship between the port variables.

is the energy dissipated by the network over the time interval [0, t].
The robot and the environment are then coupled through their interaction ports, as shown in Figure 10.7, which describes the energy exchange between the robot and the environment.
Figure 10.7 Robot/environment interaction as an interconnection of one-port networks.
The relationship between the effort and flow variables may be described in terms of an impedance operator. For linear, time-invariant systems, we may utilize the s-domain or Laplace domain to define the impedance.
Definition 10.2.
Given the one-port network in Figure 10.6 the impedance, Z(s) is defined as the ratio of the Laplace transform of the effort to the Laplace transform of the flow,

Example 10.2.
Suppose a mass-spring-damper system is described by the differential equation

Taking the Laplace transforms of both sides (assuming zero initial conditions) it follows that

It seems intuitive that different types of environments would dictate different control strategies. For example, as we have seen, pure position control would be difficult in contact with a very stiff environment as in the window washing example. Similarly, interaction forces would be difficult to control if the environment is very soft. In this section we introduce terminology to classify robot and environment impedance operators that will prove useful in the analysis to follow.
Definition 10.3.
An impedance Z(s) in the Laplace variable s is said to be
Example 10.3.
Figure 10.8 shows examples of environment types. Figure 10.8(a) shows a mass on a frictionless surface. The impedance is Z(s) = Ms, which is inertial. Figure 10.8(b) shows a mass moving in a viscous medium with resistance B. Then Z(s) = Ms + B, which is resistive. Figure 10.8(c) shows a linear spring with stiffness K. Then Z(s) = K/s, which is capacitive.
Figure 10.8 Examples of (a) inertial, (b) resistive, and (c) capacitive environments.
Figure 10.9 Thévenin (left) and Norton (right) equivalent networks.
In linear circuit theory it is common to use so-called Thévenin and Norton equivalent circuits for analysis and design. It is easy to show that any one-port network consisting of passive elements (resistors, capacitors, inductors) and current or voltage sources can be represented either as an impedance Z(s) in series with an effort source (Thévenin equivalent) or as an impedance Z(s) in parallel with a flow source (Norton equivalent). The independent sources Fs and Vs may be used to represent reference signal generators for force and velocity, respectively, or they may represent external disturbances.
Since a manipulator task, such as grasping an object, or inserting a peg into a hole, is typically specified relative to the end-effector frame, it is natural to derive the control algorithm directly in the task space rather than in joint space.
When the manipulator is in contact with the environment, the dynamic equations of Chapter 6 must be modified to include the reaction torque JTFe corresponding to the end-effector force Fe, where J is the manipulator Jacobian. The modified equations of motion of the manipulator in joint space anre given by

Let us consider a modified inverse dynamics control law of the form

where aq and af are outer-loop controls with units of acceleration and force, respectively. Using the relationship between joint space and task space variables derived in Chapter 9


we substitute Equations (10.14)–(10.16) into Equation (10.13) to obtain

where W(q) = J(q)M− 1(q)JT(q) is called the mobility tensor.
There is often a conceptual advantage to separating the position and force control terms by assuming that ax is a function only of position and velocity and af is a function only of force. However, for simplicity, we shall take af = Fe to cancel the environment force and thus recover the task space double integrator system

and we will assume that any additional force feedback terms are included in the outer-loop term ax. This entails no loss of generality as long as the Jacobian (hence W(q)) is invertible. This will become clear later in this chapter.
In this section we discuss the notion of impedance control. We begin with an example that illustrates in a simple way the effect of force feedback.
Example 10.4.
Consider the one-dimensional system in Figure 10.10 consisting of a mass M on a frictionless surface subject to an environmental force F and control input u. The equation of motion of the system is

With u = 0, the object “appears to the environment” as a pure inertia with mass M. Suppose the control input u is chosen as a force feedback term u = −mF. Then the closed-loop system is

Hence, the object now appears to the environment as an inertia with mass
. Thus, the force feedback has the effect of changing the apparent inertia of the system.
Figure 10.10 A mass M on a frictionless surface, subject to a force F.
The idea behind impedance control is to regulate the apparent inertia, and also the apparent damping, and stiffness, through force feedback as in the above example. For instance, in a grinding operation, it may be useful to reduce the apparent stiffness of the end effector normal to the part so that excessively large normal forces are avoided.
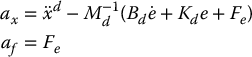
Next we show that impedance control may be realized within our standard inner-loop/outer-loop control architecture by a suitable choice of the outer-loop term ax in Equation (10.18). Let xd(t) be a reference trajectory defined in task space coordinates and let Md, Bd, Kd, be 6 × 6 matrices specifying desired inertia, damping, and stiffness, respectively. Let
be the tracking error in task space and set

where F is the measured environmental force. Substituting Equation (10.21) into Equation (10.18) yields the closed-loop system

which results in desired impedance properties of the end effector. Note that for F = 0 tracking of the reference trajectory, xd(t), is achieved, whereas for nonzero environmental force, tracking is not achieved, in general. We will address this in the next section.
In this section we introduce the notion of hybrid impedance control. We again take as our starting point the linear, decoupled system given by Equation (10.18). The impedance control formulation in the previous section is independent of the environment dynamics. It is reasonable to expect that stronger results may be obtained by incorporating a model of the environment dynamics into the design. For example, we will illustrate below how one may control the manipulator impedance while simultaneously regulating either position or force, which is not possible with the pure impedance control law given by Equation (10.21).
We consider a one-dimensional system representing one component of the outer-loop system (10.18)

and we henceforth drop the subscript i for simplicity. We assume that the impedance Ze of the environment in this direction is fixed and known, a priori. The impedance of the robot Zr is of course determined by the control input. The hybrid impedance control design proceeds as follows based on the classification of the environment impedance into inertial, resistive, or capacitive impedances:
We illustrate this procedure on two examples, a capacitive environment and an inertial environment, respectively.
Example 10.5. (Capacitive Environment).
In the case that the environment impedance is capacitive we have the robot/environment interconnection as shown in Figure 10.11 where the environment one-port is the Norton network and the robot one-port is the Thévenin network. Suppose that Vs = 0, that is, suppose there are no environmental disturbances, and that Fs represents a reference force. From the circuit diagram it is straightforward to show that

Then the steady-state force error ess to a step reference force
is given by the final value theorem as

since Ze(0) = ∞ (capacitive environment) and Zr ≠ 0 (non-capacitive robot).
The implications of the above calculation are that we can track a constant force reference value, while simultaneously specifying a given impedance Zr for the robot.
In order to realize this result we need to design outer-loop control term ax in Equation (10.23) using only position, velocity, and force feedback. This imposes a practical limitation on the achievable robot impedance functions, Zr.
Suppose that the desired robot impedance Z− 1r can be written as

where the remainder term Zrem(s) is a proper rational function. We now choose the outer-loop term ax as

Substituting this into the double integrator system
yields

Thus, we have shown that, for a capacitive environment, force feedback can be used to regulate contact force and specify a desired robot impedance simultaneously.
Example 10.6. (Inertial Environment).
In the case that the environment impedance is inertial we have the robot/environment interconnection as shown in Figure 10.12, where the environment one-port is a Thévenin network and the robot one-port is a Norton network. Suppose that Fs = 0 and that Vs represents a reference velocity. From the circuit diagram it is straightforward to see that

Then the steady-state velocity error ess to a step reference velocity command
is given by the final value theorem as

since Ze(0) = 0 (inertial environment) and Zr ≠ 0 (non-inertial robot).
To achieve this non-inertia robot impedance we take, as before,

and set

Then, substituting this into the double integrator equation
yields

Thus, we have shown that, for an inertial environment, position control can be used to regulate a reference velocity and specify a desired robot impedance simultaneously.
Figure 10.11 Capacitive environment case. The robot impedance is non-capacitive.
Figure 10.12 Inertial environment case. The robot impedance is non-inertial.
This chapter covers some of the basic ideas in robot force control. A force control strategy is one that modifies position trajectories based on the sensed force.
Natural and Artificial Constraints
We first described so-called natural and artificial constraints using the notion of reciprocity. Given six dimensional velocity (or twist) and force (or wrench) vectors V and F, respectively, an ideal robot/environment contact task satisfies

In general, the chosen task imposes environmental constraints on six of the above variables. These are the natural constraints. The remaining variables can be arbitrarily assigned artificial constraints that are then maintained by the control system in order to complete the task.
Network Models and Impedance
We next introduced the notion of mechanical impedance to model the realistic case that the robot and environment are not perfectly rigid. The impedance is a measure of the ratio of force and velocity and is analogous to electrical impedance as a ratio of voltage and current. For this reason we introduced one-port network models of mechanical systems and modeled the robot/environment interaction as a connection of one-port networks.
Task Space Dynamics and Control
When the manipulator is in contact with the environment, the dynamic equations must be modified to include the reaction torque JTFe corresponding to the end-effector force Fe. Thus, the equations of motion of the manipulator in joint space are given by

We therefore introduced a modified inverse dynamics control law of the form

where aq and af are outer-loop controls with units of acceleration and force, respectively. The resulting system can be written as

where

is the outer-loop control in task space and W(q) = J(q)M− 1(q)JT(q) is the mobility tensor.
Impedance Control
Using this model we introduced the notions of impedance control and hybrid impedance control. The impedance control methodology is to design the outer-loop control terms ax and af according to

to achieve the closed-loop system

which results in desired impedance properties of the end effector.
Hybrid Impedance Control
Using our network models we introduced a classification of robot/environment impedance operators Z(s) as
Using this impedance classification scheme we were able to derive so-called hybrid impedance control laws that allowed us both to regulate impedance and to regulate position and force.
Consider the two-link planar manipulator with remotely driven links shown in Figure 10.13.
Find an expression for the motor torques needed to balance a force F at the end effector. Assume that the motor gear ratios are r1, r2, respectively.
Figure 10.13 Two-link manipulator with remotely driven link.
Among the earliest results in robot force control was the work of Mason [113], who introduced the notion of natural and artificial constraints and Raibert and Craig [140], who introduced the notion of hybrid position/force control based on the decomposition of the force control problem into position-controlled and force-controlled directions relative to a compliance frame. Our use of the reciprocity condition is an outgrowth of this early work. The use of twists and wrenches to define global geometric notions in this context was introduced to the robotics community in [38].
The notion of impedance control is due to Hogan [63]. The hybrid impedance control concept and the classification of environments as inertial, resistive, or capacitive is taken from Anderson and Spong [4]. Alternate formulations of force control can be found in [32].